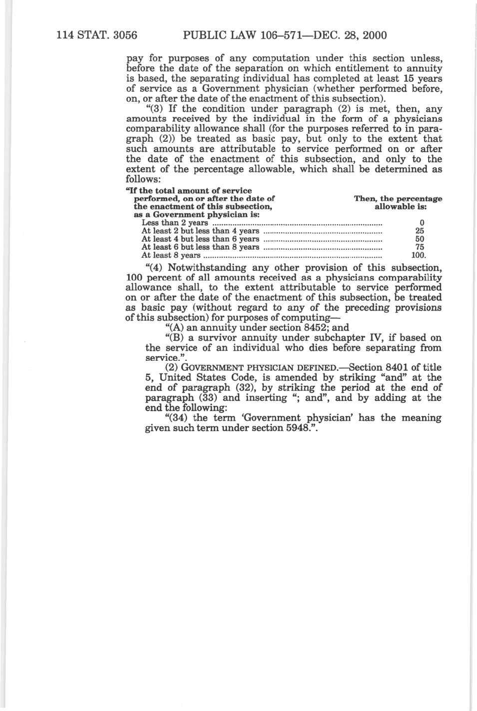
Statutes at Large Viewer

114 Stat. 3056

Local cached page image for a legacy Statutes at Large viewer URL, with source links and related U.S. Code references.

The scanned page image opens directly in a new tab from the local cache path above. Related U.S. Code sections below are inferred from citations in the current local corpus.